++ 50 ++ nEB RXv « lC 286006
A 1 B 2 C 3 D 4 E 5 F 6 G 7 H 8 1 9 1 10 K Chegg Com
nEB" RXv « lC
nEB" RXv « lC-


Recent Publications


Solved Given The Universal Set U A B C D E F G Chegg Com


Irfml44trpbf Datasheet By Infineon Technologies Digi Key Electronics


A B C D E F G H I J K L M N O P Q R S T U V W X Y Z Galvanized Letter


Complex Number Wikipedia


练习 人才选拔大赛颁奖典礼执行方案下载 Word模板 爱问共享资料


语文a版语文五上 新年来了 Ppt课件3下载 Word模板 爱问共享资料


Evolutionary Dynamics Of Retrotransposable Elements Rex 1 Rex 3 And Rex 6 In Neotropical Cichlid Genomes Bmc Ecology And Evolution Full Text


Glandular Hairs On Lamium Moschatum Miller Var Rhodium Gand R Download Scientific Diagram


Vlc Media Player Wikipedia


Solved Ifa V O G U R T And U A B C D E F G H Chegg Com


A B C D E F G H I J K L M N O P Q R S T U V W X Y Z Galvanized Letter


Letter Formation The Ot Toolbox


Solved For The Circuit Shown Below E 18 V L 4 8 Mh Chegg Com


Recognizes Numbers Ppt Download


Neonatal Progeroid Variant Of Marfan Syndrome With Congenital Lipodystrophy Results From Mutations At The 3 End Of Fbn1 Gene Sciencedirect


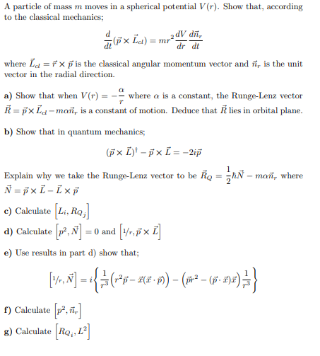
Px Id Mr A Particle Of Mass M Moves In A Spherica Chegg Com


Motional Emf Physics


Solved Consider The Sets A C H A R L I E B Chegg Com


Breast Cancer Awareness Workout Next Week And Happy Birthday Peter Industrious


O C N P C


Yishibashi Music Z01 Y T F A


Wpi Log 14 05 23 10 53 51


Nhc Ni Catalyzed Enantioselective Synthesis Of 1 4 Dienes By Cross Hydroalkenylation Of Cyclic 1 3 Dienes And Heterosubstituted Terminal Olefins Nature Communications


Solved 17 Let N Be A Positive Integer And Let R Denote Chegg Com


7510 Long Travel Disc Brake Kit Rxv Electric Manualzz


Cyclopedia Of Heating Plumbing And Sanitation A Complete Reference Work Schedule Of Circuits 3 Pl 5 J Outlets Supplied Total 1z K O It Lt Q 1 Lt V


A 1 B 2 C 3 D 4 E 5 F 6 G 7 H 8 1 9 1 10 K Chegg Com


Recent Publications


Solved Let U Q R S T U V W X Y Z A Q S U W Chegg Com


Alphabet Folded Paper Roman Alphabet B Stock Vector Royalty Free


Universal Semantic Communication Ppt Download


Vermont Year Book Ct X Gt Oi T T Cc T X Gt H T X Xc X Xri Rocr C Ti St Ti M J C 515 M


Breeders Cup What S Your Horse Name Icymi


Monogram Design Elements Graceful Template Letter S T M R E B C W Q Y I O P D F G H K L Z X V N Elegant Line Art Logo


Thesee Tragedie Seconde Edition C Ihaiirstiuc Nicl Molrsoivn Clcmj Ie Chctn Lfs Dej Amourj 3 T A T R 4 I Xe V J 6 X6


Selected Bibliography 19 Phytotherapy Research Wiley Online Library


Succinct Diophantine Satisfiability Arguments Springerlink


Monogram Design Elements Graceful Template Letter S T M R E B C W Q Y I O P D F G H K L Z X V N Elegant Line Art


Uconn Senior Happy Halloween Credit To Meg Ennis


Climatological Data West Virginia Average Temperature West Virginiajanuary 1961 X R 1 Sc 1 O 1 L I A I 1 Z Cr Lu O Z J


1 Vytah


My Next High Frequency Words Ppt Download


V E H I C U L O E L E C T R I C O C O N B R A Z O S N E U M A T I C O S


Solved Let X A B A B R And A 0 U V R E Chegg Com


Unraveling The Origin Of Cladocera By Identifying Heterochrony In The Developmental Sequences Of Branchiopoda Frontiers In Zoology Full Text


A B C D E F G H I J K L M N O P Q R S T U V W X Y Z Galvanized Letter


El Modena Hs Updated Registration 21 Information Make Up Date 8 13 From 9am 11am Added For Those Who Cannot Attend Their Scheduled In Person Date Parents Please Visit T Co Lacxsvmvu0 To


A B F G J M Q R T U X Gymnomitrion Parvitextum C E H I Download Scientific Diagram


语文a版四年级上册 家乡的桥 Ppt课件1下载 Word模板 爱问共享资料


Figure 6 From Stronger Security Notions For Trapdoor Functions And Applications Semantic Scholar


An Ab Initio Study On Structural Elastic Electronic Bonding Thermal And Optical Properties Of Topological Weyl Semimetal Ta X X P As Scientific Reports


コメント
コメントを投稿