[最も人気のある!] fXe X^~i «èÈ¢ 257900
If The Functions F X And Phi X Are Continuous In A B And
fXe X^~i '«èÈ¢
fXe X^~i '«èÈ¢-



Resposta Da Dupla Fernanda E Thainara Para Tt Dados Da Pesquisa Download Scientific Diagram



3 If X Is An Exponential Random Variable With Parameter L 0 Show That For Homeworklib



Chapter 14 Polynomial Interpolation Interpolation Extrapolation Interpolation Data



1 Given F X Y Z Y 2 Z 2 Sin Xy Find Fx Fy Chegg Com



Solved Let F X E X 1 4 A Which Describes How The Chegg Com



9 H F X Www Dingjisc Com



Solved Find The Derivatives Of The Followings F X E X Chegg Com



Observe O Grafico Da Funcao F X E Analise As Afirmacoes A Seu Respeito I Se Xp X2 E Dom F E X2 Brainly Com Br



9 E E I C F X Www Dingjisc Com



Trying To Understand A Proof About Oscillation In A Point Mathematics Stack Exchange



Update Ans Examine The Validity And Conclusion Of Rolle S Theorem For The Function F X Ex Sin X For All X Belongs To 0 P



Let F X E X X In 0 1 Then A Number C Of The Largrange S



Mathjax Not Always Rendering With Vue Filtered List Stack Overflow



2 Exemplos De Minimizadores X 1 E Estritamente Um Minimizador Global Download Scientific Diagram



3vt8iabwg7qanm



Ppt 11 1 The Constant E And Continuous Compound Interest Powerpoint Presentation Id






How To Find F Z X Z X When A Stick Is Broken 3 Parts Mathematics Stack Exchange



The Real Number E Boundless Algebra



Ppt Chapter 3 Elementary Functions Powerpoint Presentation Free Download Id



Solved Consider The Vector Field F X Y Z 4e Sin Y Chegg Com



If A Probability Density Function Math F X A E B X Math Then How Can The Associated Cdf Be Calculated Quora



11 Mm U3a Diff E X Ex 8c Youtube



Part A Tangent Line Y X F E E 2 Ln E M Tan E 2 1 E2e2 2 E Ppt Download



Bijection Wikipedia



Answered Find The Terms Through Degree 4 Of The Bartleby



Given The Following Equations Y X Y X E X 2y X Y X E X Y X 2y X E X A Use The Integration Factor And Find Your Homeworklib



College Algebra Chapter 4 Exponential And Logarithmic Functions Section 4 2 Exponential Functions Ppt Download



The Probability Density Function Of A Random Variable X Is Given By F X Kae Homeworklib



What Is The Taylor Series Expansion Of Math E X Math About Zero Quora



The Interval In Which The Function F Given By F X X 2 E X



If F X Xe X Find F X



Statistical Sciences 2141a B Lecture Notes Fall 18 Lecture 17 Exponential Distribution Random Variable Memorylessness



If The Functions F X And Phi X Are Continuous In A B And



Answered Proceed As In Examples 7 And 8 Of Bartleby



05 The Function F X Dfrac X See How To Solve It At Qanda



Discmath



Tangent To The Curve F X 1 2 E 2x 3e X 4x Is Parallel To The Line Y 2x Ln 5 Mcv4u Calculus Log Youtube



Differentiate A X Aˣ Using E Use Casio Fx 991ex To Verify A Level Maths Classwiz Calculator Youtube



Resposta Da Dupla Fernanda E Thainara Para Tt Dados Da Pesquisa Download Scientific Diagram



Mathtype Adequality Meaning Approximate Equality Is The Technique That Pierre De Fermat Devised To Calculate Maxima And Minima Of Functions It Uses Precursor Ideas To The Concept Of Limit Or



Grade 12 Math Polynomials How To Factor X 4 4x 3 3x 2 4x 4 Knowing That It S Divisible By X 2 1 Homeworkhelp



Solved If Possible Find The First Three Nonzero Terms In Chegg Com



Fourier Transforms Physics Dojo



Solved 7 A Express The Antiderivative F X E De Chegg Com



Solved Ex 1 1 If F X Si Dt Then F X 74 1 Select Chegg Com



Let Y X 2 E X Then The Interval In Which Y Increases With Respect To X Is



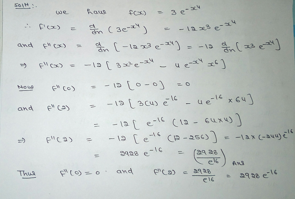
For The Function F X 3e X Find F X Then Find F 0 And F 2 F X 48x6 E X4 36x2 E X4 Select The Correct Choice Below And Fill In Any Answer Boxes



Solved Find The Fourier Integral Of The Function When F Chegg Com



The Exponential Function Math Insight



Exponential Functions Growth And Decay 2 Questions Tell Whether Each Function Represents Growth Or Decay Then Graph By Using A Table Of Values Ppt Download



Trying To Understand A Proof About Oscillation In A Point Mathematics Stack Exchange



Ilectureonline



26 F R R Such That F X Ln X X2 1 Another Function G X Is Defined Such That Go F X X X E Maths Meritnation Com



E1pu7mdl 9qmim



Kiysra2mb2b5zm



Ww Consider The Function Below X E 1 X 6 A Find The Vertical Asymptote S Enter Your Answers As Homeworklib



If F R 0 2 Defined By F X E X E Xe X E X 1 Is Invertible Find F 1



University Calculus Elements With Early Transcendentals 1st Edition H



Solve The Differential Equation Dy Dx Tany 1 X 1 X E Xsec Y



Calculus F X X 1 2 E X Maximum And Minimum First Second Derivative Test Mcv4u Youtube



E Wikipedia



Solved 22 3 X 1 2 X 7 Determine The X Value S Of Any Chegg Com



The Function F Defined By F X X 2 E X Is



Honchkrow Ex By Daniele99 On Deviantart



Partial Derivatives Of E Xyz Youtube



4 Questions With Solution Of Numerical Analysis Exam 1 Math 340 Docsity



27 Infinite Series Ideas Math Videos Calculus Series



Sorry It S In Italian Im Studying The Math Behind The Monte Carlo Auto Rifle Tech And It S Honestly Very Cool Destiny2



Solve The Following Ivp Dy Dx 4y E X 0 Y 0 4 3 Homeworklib



2 1 Given That Ux Uy 1 U X 0 F X Then The Characteristic


コメント
コメントを投稿