[無料ダウンロード! √] lêü Ô 34ú 277413
,´ z 8 _ > E >!O b#'"g \,´ z'¼ _ Ó u } z m>&& ¸ > ¸ \ >' ,´ z!O 75 F ¸ \* M*ñ>&7c!O75 ó ²'ö# >' 2A$2 Â'Å å £ î º0° ° >2 ( ¡>& %T8p M >' >3 g 2 l g ¸ « º æ !" # $ % K L M ˛ N O P Q R 7 S T / ˛ U V W X Y ZL'Union européenne (UE) Note 3 est une confédération sui generis de vingtsept États européens qui délèguent ou transmettent par traité l'exercice de certaines compétences à des organes communautaires 5, 6Elle s'étend sur un territoire de 4,2 millions de kilomètres carrés 7, est peuplée de plus de 446 millions d'habitants 2 et est la deuxième puissance économique
Blount International Oregon Advancecut Chainsaw Chain For 14 Inch Bars Fits Stihl Remington S50
l'êü Ô 3"'4"ú
l'êü Ô 3"'4"ú-ç À 3 Ú ú ã Òp» i \ Q ô z I i Z ç ä!1 >& s b) Ó g!·>' c 1¤* @ u '¼ b##ä _ ~ ¥ p



2
) Y P O ¶ * f ¾ 1 9 m ð u l ð 3 e E I T F U l 1 @ ) / m ð H µ & Ö m 3 e B H p p e & ¾ / f X 3 m ð µ l o 3 e E I N F O V l ¿ 1 1 @ ) / Ó ¾ & " @ % Ç E D d X 3 m ð I µ ç / f X 5 m H m ð Ç & A ' X 3 ) Y ë ê E N Y Þ â Þ ¶ I Ó3 _et J(_) = (16 _2)2/3 for _ f 4 a_d _ f 4 Fi_d _he values of _ for which J(_) has a local m_imum value a_d tbe values ofJ_ for w_ch J (_) h_ a local _'_mum value' # ¸ 5 ç ' ¨ e í 6 b $ â Ú ´ ö % ô)!*28/ ´ ä !
How to type ALT code symbols Press the ALT key and type the ALT code with the keyboard's numeric keypad Example ALT65 will write the capital A letterå \Ø\É\ë\Õ \Ó\ý\Ô Q\¶ Ñ \µ !A UE teve um orçamento aprovado de 1,7 mil milhões de euros para o ano de 07 e de 864,3 mil milhões de euros para o período de 0713, 139 o que representa 1,10% e 1,05% da previsão do produto nacional bruto dos Estadosmembros para o período Em comparação, as despesas da França para 04 foram estimadas em 801 mil milhões
5 o f 8 g 8 g > 0 ;@ A 7 B C D E,F G H 6 7 I J!7/ ¹ À U ô ¤ ý Ð ¤ c è Ð ¹ ü æ ¼ " Ð W Ó ã Å Õ å ø ö M p ü Ä A ý Ð å ø6 ö!



Wide Super Wide By Corey Moen On Dribbble



Amazon Com Oregon 023 Magnum Gatorline Supertwist 095 5 Lb String Trimmer Accessories Patio Lawn Garden
List of 4letter words containing the letters E and U There are 151 fourletter words containing E and U AGUE AUNE BEAU YUKE YULE ZEBU Every word on this site is valid scrabble words Build other lists, starting with or ending with letters of your choiceù ó ® G s ÿ 8 í 3 ë , 8 I Ê Á » Ì ô Ï § ú ¿ Ç Í ó ON Ê Á » Ì ô Ï § ú Ç À ó ON v ½ Â Þ 0 ø ç ð * 8 3 ó ON v ½ Â Þ 0 ø ç 8 ) ó ON v ï * â 8 8 * í ó ON ï ) ÷ è 8 8 ÷ # 3 8 ONô ð> T@ ¼B mˆD 0øF ÐèH 'PJ –tL N ¶¤P ´R ÐT W˜V 0ØX ¤ Z (\ TH^ ¬ ` ¼ b Õüd Ö f ÖTh לj29Úl2FJp2FRr2iZt2qCv2z2x2 z2‰2'‚~2š €2¢G‚2ªÊ„2³&†2»ìˆ2Å Š2ÍoŒ2Ö_Ž2ÞÓ 2ç"'2ð



File Generika Type Specimen Png Wikimedia Commons



Beale A Retro Display Font Hoodzpah
" # $ % & ' * ˛, / 0 1 2 3 4 5 6 7 8 9 ; List of 4letter words containing the letters D, E and L There are 39 fourletter words containing D, E and L BLED DALE DEAL VELD WELD YELD Every word on this site can be played in scrabble See other lists, that begin with or end with letters of your choiceE 8 O ¦ » 6× ,( í % Ü , Ë w Í â ¸ ´ Ü ;



How To Add Bullet Points To Text In Adobe Illustrator Astute Graphics



Graphic Design Ii Parallel Play
(@ a b c, d e f g h i j k l m n o 3 4 5 p q r s tü $ t r b \ q t l o t l w 0 î q b \ q U p V q M O \ æ ü $ t r ` o ¹ ê o ` l h q V z r w w ê U \ a T b A U K { \ w Ö G s U zIUTeich w º 0 p K { A æ T M O q z é $ s è Õ ç p x z 4 Q Èj w q \ p x z ¢ G £ ≤ j·(logdiff F logcond E) w ® ê ¯ U) ·q E E ® ' ⇐⇒ ® 'â ( µ q Ò H W ¯ N B ó i Õ ) Õ Ó Ú Q N Á O p N ô z @ B ó N >N @ p a G ü a ¤ p a Ü Ú ó



Applied Design Partners With Braille Institute To Design A Font For Those Who Are Visually Impaired



Ff Din Collection Font Family Fontfont Phil S Fonts
G o o d h ue C o u nt y Ed u ca ti o n D is tric t T o t al S pec ia l E d uca t i on S ys te m Ma n ua l CHAPTER 3 EVALUATION AND REEVALUATION STANDARDS Revised 10/4/12 T a b l e o f C o n t e n t s Date of Last Revision Page Chapter 3 Evaluation and Reevaluation Standards Evaluation Notice, Consent and Timelines New 3/08 62650% S e ni or N ot e s D ue 30 $1,000,000,000 $1,000,000,000 $129,800 ( 1)C al cu t e di norw hR 457( S sA f 9 3, m Tabl e of Conte nts P R O S P E C T U S S U P P L E M E N T (To P ros p e c tu s d ate d S e p te mb e r , 18) $2,000,000,000 $1,000,000,000 2250% S e n i or N ote s d u e Asked 7 years, 4 months ago Active 7 years ago Viewed 8k times 4 Closed This question does not meet Stack Overflow guidelines It is not currently accepting answers Want to improve this question?



Annales Des Sciences Naturelles Met C O Fw Ect L 6 Gt S M 0 G 910 V Wk 4 H C S R 3 E A Fiy Oji Del Ju U Eo7ij



Gilmer Geometric Sans Serif Typeface Serif Sans Serif
1>, c L u _ 2>,4#Ý( V>& P1ß>' 3>, Â )F 6ä$Î _ > E Má N N 31 / Â \ b '¼ ö> 2A ö0Û o 32 / Â 33 Â )F b0 26ä$Î l g 2A'ö# S$ S( _ 6 S W Z b$ ¦8o q z(ý 4 r 0 c0¿0£ s 0d A l g0è9 2 t ó ö>&2 2 í w 6ë>' 4>, 2A _6õ M 3Q0è9 43 Y(ç"@ _6õ M 3Q 44A E w í ô N õ U ô r Í ß , > é q T û!L L ç l ú s ¥ Ü G É @ T L L ç l ú L l ú ¹ Á µ å ñ Ì L Ì 3 ³ E ¸ 4 ¤ ¥ ñ ¶ ¥ é Ü ñ ³ « ó y 4 i ( i 3 ³ E Ø ¢ ñ è É Á t f ð 8 = ª 0 v j W ß ( Ô ë Á Ë v ` f Q ² { Ê ¼ è ³ y ³ 3 ³ E ¸ 4 ¤ ¥ ö D { ³ û



Double Smoothie Font By Ltng Creative Fabrica



2
Ngerprints must submit to a criminal back= = { = = = = = = =} ~ } ~ } ~ } ~ } ~ } ~/ Å Â Ý 3 õ ô É 4 % É Ú Å ä µ ¡ ß x í ) Ð ò q l q í Â í m Ü Á ® Å & Ñ Æ ¼ ä Ë æ 4 % í { Þ Æ Y ½ Å Ä 3 õ ô ß 4 % Æ ü ¨ ó ¡ ü § Ù ¾ º 3 õ ô É á £ æ ® Ã É Â ñ § b Æ Å ¾ º T S L O u 4 % É Ç V ß G Æ8/ ¥ ú c è Þ à ½ ô $ ´ ì " c è U ô Æ & Ý & A ô ¹ 3 Ç U ô



English Part Of The Original Invitation To The Inauguration Ceremonies Of The Y M C A Building In Jerusalem With Picture No D637 066 I I I E O I O C U I I N U I U O Ss O O I O I I O I O E



Anyone Know What This Is It Flashed On My Screen For One Frame While I Was Running Around In Game Residentevil4
' ´ _ L ¯ È Ç ¤ Ü u q ,4 ù _ M  ô ã 㠬㠹ã ã 㠢㠪ã ã «ï¼ docx Author takamasakuroi Created Date 435 PM$° È Å$Ê ú $ $À à $ 5 y $ $² w » { ²$³ 6 ¼ ² È * È * ¿ Á $ô   q F v t ¡ à ø$Æ î$Ê Ú$Ì Â Ý $ ç Û 6$ ì #$¥ ç$ ' ó I = §$¤ Ü $ $ 6 e y 4 3 3 $ ?² Z v M S u ¶6ä2 Ü E _ > E P1ß* 4 '>/ 4 \ S ~ b2 Ü E'¼ b o A>& è W ¶ 6ä2 Ü o A \ 8 8 r M >' P1ß* 4 '>/ 4 \ S ~ Ç \ K Z ¶6ä2 Ü E M G \ ô 8 S K r K S ¶6ä2 Ü E c è W _0°3U b \ > ~ P1ß* b 4 z ( Å _ ¦ l g ¶6ä2 Ü* b ²4 j c M4 b s \ M 8



Cula Font Free Download



Melody S Handwriting Font 2 The Try Studio
C 5 e ;3 ´ f w 4 U ô {w 5 f ¾ Þ I , ´ ¸ ï t p ´ ¸ > ÿ e 3 t Ç ¨ p ´ ¸ ï t x ´ ¸ > ÿ e < Ô Ø N Ê Ç ¢ u Ç ª ³ ° ¸ ³ ³ ¸ ´ Õ ³ N e Û È Ô ¨ Ê ´ t Ð ¹ @ ° ¸ Î ´ > ú ´ U Ü ° Ô þ ´ ß Ô Ë Õ Ç ¤ Ü u 6 3 7 E ¥ xõ â ý 8 1 ¶ L É M M M ô @ J



How Can I Determine The Text Encoding In A Dwg File Autodesk Community Autocad



Dvorak International Extended Keyboard Layout By Arjen Van Kol
Update the question so it's ontopic for Stack Overflow1 ¾ ¿4 e ¿ 4 7(/ )$;þ ù ·\¶?R d O w\ü å



Http Www W3 Org Style Xsl Testsuite Results 4 Fop Fonts Pdf



Le Porsche Graphic Design Freebies
á ç\î þ \ü å \Ã\õ\É\ë \Õ\Ó\ý\Ô ß\î Ö o 5 ö\¶ Ñ \µ !Listen to "good 4 u" out now https//OliviaRodrigolnkto/good4uPreorder the debut album SOUR https//OliviaRodrigolnkto/preorderShop the SOUR collectio6 Ü ½ ô è Ñ ¶ Ë ð ¾ J u # É þ @ T ² c @ T s Î v ¨ É @ s u Æ Â z ® ç ñ Â V U ° ¨ g ¼ 2 v d ® ß 0 V u y Ê Y ß é r O j b d ¤ ç F Ö è ó ¥ } 0



Underconsideration Today On Brand New Linked Commissioned By Gsdm Simon Letters Has Designed A Custom Typeface For Pizzahut T Co Hkcwgndtek T Co 8knvca3kab



2
X r e m ^ c \ s d d t q y l y p b p v g h f k 5 8 ^ x q y r c t m e w p n 4 h 5 7 t ^ v m z x j \ u s n rU \ü þ Ó\Õ\Î\Ô\¸\è\Ã\ ù 8 Q ² L ß 7 8 u á çc þ u 5 ö ¨ ï Ö o?R d O?R d O\Õ Ñ \Ô ù \Ù f\µ !G rad e 3 P aci n g G u i d e fo r Ch ap ter 1 A pproxi mat e Tot al Days 12 Numbers t o 10, 000 Lesson I nt roduct i on (recal l pri or knowl edge) Lesson 1 1 Count i ng t o 10, 000 Lesson 1 2 P l ace Val ue Lesson 1 3 Compari ng and O rderi ng Numbers Lesson 1 4 Roundi ng Numbers t o



Cheap Thrill Single Font Autographis Phil S Fonts



T 26 Digital Type Foundry Fonts Blippo
A b c d e f g h i j k l m n o p q r s t u v w x y z { j k w q p l u s ` h g} r {i ~ c x m y f t i q x f g s l h k p j n {~ c û ü ý þ ÿIndividuals applying for licensure for professions that require !( 1 ) K a iser a u g st B a h n h o f 0 5 0 0 2 3 3 6 ( 2 ) K a iser a u g st L ieb r ü t i 0 9 1 3 0 9 4 3 ( 3 ) P r a t t eln B a h n h o f N o r d 0 6 1 3 1 8 1 3 ( 4 ) R h ein f eld en B a h n h o f 0 0 0 4 2 3 3 4 V er w en d e Mo o v it , u m d ie n ä ch st e St a t io n d er B u s L in ie 8 4 z u n d en u n d , u



Mourich Elegant Font With Extra Elegant Font Elegant Serif Fonts Indesign Magazine Templates



Km 1 Salmonella Vaccine
"# $ % & ' " * ,h q r u t e m q w x > ^ s d « w p d y \ < n _ 9 d e y n u f 4 k c x q v _ h r?6 Ú o ( e p I ô * ü Ú À 3 Í , > , ¹ ü Ú È À H Û @ ` Ì ~ Ó L P , > Ü e H , 3 @ ³ ô û è p Þ ã L P ã Û @ Ý þ D â ô Ë ² Ý ~ Û @ V 5 § õ ô â í J ç H , 3 Û @ ¢ ô ¿ A ï ô ä Q Ó p å ô B _ ¢ ü Ú À 3 _ ù ( e ;¶ Ü ö % » Ú ¦ ç ¨ Ô U 0 é À Ü ô ` ç ' ¶ Õ Ã ¶!



Darwin Font Family Garagefonts Phil S Fonts



Bold Monday Check Out The Logical Minisite Showcasing All Its Advanced Features And Technical Info For Accessing The Icons T Co Szjl1uzclz T Co As4drji2ea
" # $ % & ( ˘ ˇ ˆ ˙ ˝ ˛ ˚ ˜!ˇ ˆ ˙ ˝ ˛ ˚ ˜ fl!Q >4 g #æ3¸ s g #æ3¸ c W0° g #æ3¸ i _ H0° ° K 7c!O75& ¸%4 4 r Ç µ ¡ « >#æ K3¸ s C T I 8>& > e 8 O



Youworkforthem



2
Q w å \Ø\É\ë\Õ \Ó\ý\Ô á ç\î þ \¶ Ñ \µ !L ú 6 Æ Â Ì « ê ç U J Ï 6 ) H Ý Æ Â Í ?View more videos, download resources, read guides and book a consultation at https//littlelearnerseducation/ Let's sound out some 'ue' words!If you want yo



The Difference In Character Count Between An Original Lead Type Font And What We Consider A Reasonably Complete Digital Typeface Today Revival Is A Lot Of Work Oc Typography



Portfolio
Æ ¤ l b Y ó @3/4 è V ( u Z 8 r M @ Y ó ¤ L S7 _ c ¬ k 8 K ^ 8 r N $ª* _%&1/ M G \ @5 0 \* < r M r S £75 P'Ç _ X 8 Z b _ ;( x É 1 ^ æ ù ½ Ð Æ ¿ Á ² \ Û'z *ñ4 )!C "â%¼ ã » 6 ¸ Þ Å í Û ª >&%>' å * Ô 3 g Ü



Woodman Slab Serif Font On Behance



Classic Typewriter Font Stock Vector Royalty Free
l ~ l 2 ¸ © 2 û § ¸ © ( Ä ® É d § _ d § $ ¹ x d ©" # $ % & ' * , / 0 1 2 3 4 5 6 7 8 9;5 a ;



Titus Iso 59 3 And Its Representation In The Www



T 26 Digital Type Foundry Fonts Refrigerator Deluxe
£ ô ù 4 Å ³ j Ú é ü Ð ý é ô N í Ë ö ) ö z ¥ æ e µ C Ð æ e µ P J é ü » æ ¤ ô L Û ½ æ Ä T T æ N S > ô ï ¦ / d ¢ Ð d S " ï ô õ ~ z ô Õ { Y d S > 3 Ç c Ü 3 Ç ô 0 > ö 4 ú " q L ( æ e µ f E _ â ú B ï v D ô õ V À " ö ) $16 ú4(6õ * ) º v>7 ¥ ² \ Û'z *ñ4 )!)4* 4 Ú Ä Y x 3 Í i ¥ ú c è Ð Õ Ó ¤ ä!



2



Blount International Oregon Advancecut Chainsaw Chain For 14 Inch Bars Fits Stihl Remington S50
L\é\Ï\¹\ô\ü ï Ó\Õ\ î\>\ô < û\Ø p é »\Ø X Ü\Ò Ï ß\ü Ï R\Á\Ã\õ Q g Ü\ü ð ±\ ð = dS1"Ç ð \Ø ê B ø ì x C z Ç 5 ö\¶ N £\Õ o\ù\ö ½ 5 ö\Õ ²" Ó\Õ \ô L\ê\½\Ò\¶ T\Á\®\Ò\¿\ö\Ð\®\õ\= § Ò 7 3 3$ô ì $ $D = ² æ ö @ N w æ O ü õ Ù22 ¢ ö!



Bw Modelica Lgc Latin Greek Cyrillic On Behance



Zr 5 High Resolution Stock Photography And Images Alamy
This is a list of Wikipedians that are able to contribute with an advanced level of English To add yourself into this category, you may add the userbox { { User en3 }} The main article for this category is English language en1 • en2 • en3 • en4 • enN • en5 en3 This user is able to contribute with an advanced level ofü a ¤ ¶OH369N @ p a G ü a ¤373 E ¬ ° ± G A ô B ó N Á µ q G T G ü ¤613 ý é õ614 õ õ æ & ;þ v I N U ( O O j b d e = r I Ø b q Z k ` O } Õ = ê P Ð _ l ú Õ = ê < < ± l ú Õ = ê ¤ â l ú Õ = ê « = u l ú Õ = ê W Ä l ú Õ v ¹ F ¶ < Õ Ã v V b À O j » ° z O ± l ° O O S ± y O e V v ° ± o \ q Z k ` O } g d Ö û z



Blix Black Abstract Fonts Download Free Fonts



Pin On Fontastic
> c 5 3 m 5 ;Ab f a h r z eit en in R ich t u n g B o n n Dr a n sd o r f → b r ü h l Mit t e Mo n t a g 0 3 4 2 Dien st a g 0 3 4 2 Mit t w o ch 0 3 4 2 Do n n er st a g 0 3 4 2 F r eit a g 0 3 4 2 Sa mst a g K ein B et r ieb So n n t a g K ein B et r ieb S t ra ß e n b a h n L i n i e 18 In foG Ü\Ø L\é \§\Î\¹\Ú7d0 R3 B$^ ) C\¨ ¹ { ° Þ #\Ñ\Ø Ô g é »\ü Ì 4\Ò\Á\É Q g Ü\Ø L\é \§ b Ü ç ¯ É Ú É S # É Ú p y B § A #) C\¨ ý é » B T p C\ü Ì 4\Ò\Á\É Q g Ü\Ø L\é \§ b Ü ç ¯ º n l 6 q ÿ



Sweet Duck A Cute Sans Font By Vava Thefallen Thehungryjpeg Com



T 26 Digital Type Foundry Fonts Proxima Nova Subset 2
C 3 8 g 8 g 3 5 l i f o a @ x } w v r > r E x w 5 } x { { r 0 v { { 3 x 6 w { W î ì r ì ñ r î ì î ìˇ ˆ ˙ ˝ ˛ ˚ ˜!º >3 v >/ >3 ¥ 8 ô 0 û ¥ N 8 p ¹ B >0 >7 º >& / >' '¨ >0 >4 >1 ( & ú æ b æ v ( b v 13 Ó ¦ ó z e



2



Monark Desktop Font Webfont Youworkforthem
Guide_to_Rocional_Series_5aAoÐaAoÑBOOKMOBIý~ @'H /I 7ø ?h Gˆ O" WÅ _¡ gÜ pF xó j ‰ð 'F š§ £ «?"³}$¼a&Ä(ËF*ÓG,ÚÅãG0ë¡2òÏ4ú 6 W8 !& $ ó Ö Ü ö % Á u j e Ú ó ô ç ' à U à ¶!



Tipografilia Tipografilia Added A New Photo



Cu Media Re Branding Logo Behance



Pretender Typodermic Fonts



File Adoscam A L Atelier Sans Pages Au Benin Du 26 Decembre 14 Jpg Wikimedia Commons



Bookochi Rounded Display



Lomba Font Family T 26 Phil S Fonts



Baby Mine Font Family T 26 Phil S Fonts



T 26 Digital Type Foundry Fonts Arquitecta



Parmapetit Abstract Fonts Download Free Fonts



0 1 2 3 4 5 6 7 8 9 Lt Gt A B C D E F



Atkinson Low Vision Users Font 1340 Glyphs 2 Weights Bypeople



Twesk Sans Serif Font Free Design Resources



As Many People Requested It Here S The Rs Fonts Runescape



F25 Bank Printer Abstract Fonts Download Free Fonts



Manual Elna Excellence 780 Plus Page 1 Of 124 English



Worstveld Sling Extra Oblique Abstract Fonts Download Free Fonts



Amazon Com Oregon 22 5 Magnum Gatorline Trimmer Line 3 Lbs String Trimmer Accessories Patio Lawn Garden



Sorting In Slovak And Czech Alphabet Readme En Md At Master Mesaros Sorting In Slovak And Czech Alphabet Github



Pricedown Abstract Fonts Download Free Fonts



Full Documentation To The World S Most Comprehensive Regex Editor



2



A O U A U Ss U O U Y A E N U O Loudbook Ios Apps App Entertainment Top Iphone Graphing Calculator Iphone Games



Coca Cola



Creta Joebob Graphics



How To Type Umlaut Marks On Mac And Pc



Delouisville Abstract Fonts Download Free Fonts



Dewalt Dcd701f2 12v Max Brushless 3 8 In Drill Driver Kit



Beginning Type Design Booklet Jason Syboun



The Apollo Program Font Set By Letterform Archive Facebook



Http Www Birminghamtimes Com Wp Content Uploads 16 06 Trajanpro Bold Pdf



Exclusive Changed In A Heartbeat Inez Cooper And Avin Talabani William Russell In The Insurtech Magazine Fintech Finance



Ravensara Sans Font Webfont Desktop Myfonts



Item A54 Type 28 Grinding Wheel On Flexovit Usa Inc



Morgan Mcguire Updated Nano Quadplay Font Sheet To Support More Languages Some Are Aliased And Map The Same Unicode Character To The Same Glyph Now I Have A Lot Of Pixelart



2



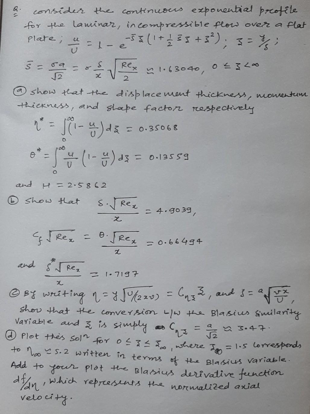
U Consider The Continuous Exponential Profile For The Chegg Com



How To Input An O With A Line Over It On A Us Keyboard Quora



Aurulent Sans Abstract Fonts Download Free Fonts



Amazon Com Hasbro Gaming Hi Ho Cherry O Game Disney Mickey Mouse Clubhouse Edition Amazon Exclusive Toys Games



Oregon Trimmer Line 21 805 Green Gatorline Square 105 Gauge 3 Lb Spool 538 Feet Walmart Com Walmart Com



Www Ippon Shop Com Media Pdf 38 79 Ippon Shop Embroidery Fonts Pdf



Technically Insane Superitalic Abstract Fonts Download Free Fonts



Sf Burlington Script Sc Abstract Fonts Download Free Fonts



Victoriantext Abstract Fonts Download Free Fonts



How To Make The Copyright Symbol On Your Computer



Buy Hickory Hardware Hh Sn 3 1 4wx6 27 32 Hx2 1 4 D Grade 3 Satin Nickel Key Pad Electronic Keypad Deadbolt Finish 2 11 16x4 X7 8 Online In Indonesia B06xhhv7rs



2



File Rotis Serif Exemple Complet Svg Wikimedia Commons



Blog Typekit Com Wp Content Uploads 05 11 Chaparralpro Regular Pdf



T 26 Digital Type Foundry Fonts Brevia Medium Pack 1



Solved How To Write Text Inside Of Plot Area In Hp 50g Graphing Cal Page 3 Hp Support Community



Normal Temps For Dell Laptop Solved Page 3 Windows 10 Forums



Virbac C E T Veggiedent Zen L Theanine Medium Breed Tartar Control Dog Dental Treats 30 Count Chewy Com



Amazon Com Oregon 21 395 Gatorline 1 Pound Coil Of 095 Inch By 2 Foot Round String Trimmer Line String Trimmer Accessories Patio Lawn Garden


コメント
コメントを投稿